電話:13570151199
傳真:020-39972520
郵箱:hanyan@hanyancarbon.com
地址:廣東省廣州市番禺區東環街番禺大道北555號天安總部中心30號樓6層
活性炭是多種工藝中非常重要的多孔材料。活性炭的主要用途是它們用于氣相或液相中的污染物的吸附,氣體儲存 和用作催化劑載體。多孔材料如活性炭通常具有幾個物理參數,如表面積和孔隙體積。在這些材料的開發中,滿足這些物理性能是非常重要的,因為它們將直接影響材料在其應用中的性能。
活性炭的表面積通常采用BET法測量它在液氮溫度(77K)下采用不同壓力下的氮氣吸附。然后根據BET的表面積由氮氣分子的橫截面面積,阿伏加德羅數和氮的特定單層容量的乘積確定,其由通過BET提出的等式進一步修改而獲得。對于孔體積測定,更常用的方法也使用氮吸附等溫線數據。根據在最高相對壓力下吸附的氮的量來估計總孔體積,并且使用Dubinin-Radushkevich方程從氮吸附等溫線計算微孔體積。7盡管這些方法在多孔材料的表面積和孔體積測定中被更多地用作參考,但是這些方法耗時且需要使用昂貴的設備。
關于活性炭結構的更多信息可以通過不同吸附物如亞甲基藍和碘的吸附特性來獲得。這些分子的吸附實驗很容易和習慣性地完成表征活性炭,目的是獲得有關材料吸附能力的信息。根據亞甲基藍分子的尺寸,它主要吸附在中孔中,但在較大的微孔中也發現一小部分。關于亞甲藍,碘分子具有較差的尺寸,使其可以滲透到微孔中。這些特征賦予這些分子在活性炭物理結構研究中用作探針的潛力。盡管如此,還沒有關于亞甲基藍和碘值之間的定量關系和活性炭的結構特征的詳細研究。
本文的目的是證明活性炭的表面積,微孔體積和總孔體積可以通過碘和亞甲基藍的數值使用多元回歸來估算。考慮到從不同前體制備的幾種活性炭樣品的數據和從文獻中提取的數據,開發了該方法。
測試實驗開始:
活性炭樣品
多種活性炭樣品的表面積,微孔體積,總孔體積,碘值和亞甲藍數量的數據和實驗數據用于方法開發。
亞甲基藍(MBN)
亞甲藍數定義為在1.0g吸附劑上吸附的染料的最大量。在該試驗中,10.0毫克活性炭被置于與10.0毫升的不同濃度(10,25,50,100,250,500和1000毫克的L亞甲藍溶液-1)處理24小時,在室溫下(大約25℃)。使用UV / Vis分光光度計(Biosystems SP-2000)在645nm分析亞甲基藍的剩余濃度。
由各溶液吸附的亞甲基藍的量由式1計算:

其中C 0 (mg L -1)是開始時間(t = 0)時亞甲基藍溶液的濃度,C e(mg L -1)是平衡時亞甲藍溶液的濃度,V(L)是處理溶液的體積,M(g)是吸附劑的質量。
為了確定Langmuir模型的亞甲基藍數,用C e的函數作出q eq曲線。Langmuir參數(q max 和K L)通過最小二乘擬合回歸找到。
碘值(IN)
碘值根據ASTM D4607-94方法測定。碘值定義為當濾液的碘濃度為0.02N(0.02mol L -1)時,被1.0g碳吸附的碘的毫克數。該方法基于三點等溫線。標準碘溶液在特定條件下用三種不同重量的活性炭處理。實驗包括用10.0mL的5%HCl處理活性炭樣品。該混合物煮沸30秒,然后冷卻。之后不久,將100.0mL的0.1N(0.1mol L -1)碘溶液加入到混合物中并攪拌30秒。將所得的溶液過濾并50.0毫升濾液滴定用0.1N(0.1摩爾大號-1)硫代硫酸鈉,以淀粉為指示劑。每克碳吸附的碘量(X / M)相對濾液(C)中的碘濃度繪制,使用對數軸。如果殘留碘濃度(C)不在0.008-0.04 N(0.008-0.04 mol L -1)的范圍內,則每個等溫點應使用不同的碳質量重復整個過程。對這三點應用最小二乘擬合回歸。碘值是殘留濃度(C)為0.02N(0.02mol L -1)時的 X / M值。所述X / M和C ^ 值分別由等式2和3計算。

其中N I 是碘溶液的當量濃度,V I是碘溶液的加入量,V HCl是5%HCl的加入體積,V F 是滴定中使用的濾液體積,N Na 2 S 2O 3 是鈉硫代硫酸鈉溶液正常,V Na 2 S 2 O 3 是硫代硫酸鈉溶液的消耗體積,M C 是活性炭的質量。
比表面積
在77K下進行氮吸附實驗以使用儀器測定測試樣品的比表面積。在吸附測量之前,樣品在180℃下放氣過夜。采用BET模型擬合氮吸附等溫線并評價樣品的比表面積。
孔體積
氮吸附等溫線數據被用于估計測試樣品的孔體積。總孔體積由相對壓力為0.98的氮吸附量估算。使用Dubinin-Radushkevich方程從氮吸附等溫線計算微孔體積。
多元回歸
KS算法被用于分離校準組和測試組中的樣品。該算法根據歐幾里德距離選擇樣本。前兩個選取的樣本彼此最遠。下面的樣本是通過與之前選擇的樣本的距離來選擇的。在校準組中進行不同樣品量的校準。校準中使用的樣本數量被選擇來生成顯示測試組樣本的最小誤差的模型。使用最小二乘擬合來獲得校準模型,以由亞甲基藍和碘值確定表面積,總孔體積和微孔體積估計。Matlab軟件被用于計算程序。
結果分析:
最初建立表面圖以檢查活性炭樣品的表面積,總孔體積和微孔體積與亞甲藍和碘值的關系。使用實驗部分中引用的樣品的數據構建圖(圖1S,補充材料)。
在所有情況下,亞甲基藍和碘的數量都隨著表面積和孔體積成比例地增加,表明它們是測定這些性質的有趣的探針。事實上,亞甲基藍分子的面積15的2.08納米2,只能在大微孔和中孔進入。5碘分子是具有面積比較小的15 為0.4nm 2,并且可以在更小的微孔進入。五
表面積建模
為了描述亞甲基藍和碘的數量相對于表面積的行為,使用二次模型。對于模型開發,Kennard-Stone算法從105個樣本中選擇了27個樣本并用于校準。樣品表面積從199到2105 m 2 g -1不等。亞甲基藍的數量在0到501毫克克每升之間,碘值從155到1670毫克克每升。建模后獲得的表面擬合(圖1)由公式4描述。


通過這個方程的表面積預測測試了新的樣品,考慮了我們獲得的文獻和數據中的數據,總共78個測試樣品。在圖2中示出了由等式4預測的值與實驗獲得的BET值之間的比較。

觀察到的值之間有良好的相關性,表明該模型具有良好的預測能力。對于測試樣品中觀察到的平均絕對誤差為77.8米2 克-1,平均相對誤差為11.8%。表1給出了模型的統計參數。

據報道,碘值可以通過每吸附1mg碘的表面積1m 2之間的關系來提供活性炭表面積的方法。25這個考慮是在這項工作中使用的數據完成的,但是獲得的誤差顯著高于使用等式4估算表面積時觀察到的誤差。只考慮碘值也可以得到最小二乘法擬合,但誤差仍高于使用公式4時得到的誤差。因此,碘值和亞甲基藍值對于活性炭的表面積估算是重要的,因為這些材料具有不同的孔徑,可以根據孔隙幾何結構由不同的分子獲得。
微孔體積建模
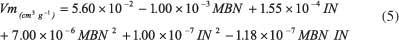
也使用二次模型將微孔體積描述為亞甲藍和碘值的函數。該模型在總共50個樣本的幫助下構建,其中從KS算法中選擇了14個樣本進行校準。校準范圍為0.05至0.99cm 3 g -1。從2至427毫克克變化亞甲藍號-1和碘號碼變化從195至1670毫克克-1。建模導致表面擬合(圖3),由公式5描述:


這個方程適用于微孔體積預測,用包含文獻中的數據和由我們獲得的數據的測試樣品進行評估。共測試了36個樣本。圖形比較(圖4)表明該模型具有良好的預測能力。該試驗樣品組的平均絕對誤差為0.05cm 3 g -1,平均相對誤差為16.4%。表2給出了模型的統計參數。


由于微孔由于其尺寸而優先被碘分子存取,所以碘值也通過最小二乘回歸與微孔體積直接相關。然而,所獲得的誤差要高于考慮亞甲藍和碘值時的誤差。這表明亞甲藍在微孔體積預測中有一定貢獻,可能是由于在較大微孔中的吸附。
總孔體積建模
通過線性模型建立亞甲藍和碘值與總孔容的關系。使用由Kennard-Stone算法從39中選擇的10個樣本對表面進行建模(圖5)。

校準范圍被認為是從0.09到1.11 cm 3 g -1。碘號碼變化從195至1294毫克克-1和2至427毫克克改變的亞甲基藍的數字-1。公式6描述了該模型:

將29個樣品的測試組用于測試該總體孔體積預測的方程。根據圖6所示的圖表,預測值和參考值之間有很好的一致性。觀察到0.04cm 3 g -1的平均絕對誤差和13.4%的平均相對誤差。表3給出了模型的統計參數。


在本文中,我們已經展示了如何使用碘值和亞甲藍數量來估算活性炭樣品的表面積,微孔體積和總孔體積。用于測定碘和亞甲藍數量的程序相對便宜和簡單,并且不需要使用復雜的設備。此外,所開發的方法允許從亞甲基藍和碘吸附研究中提取比通常使用這種類型的材料更多的信息。雖然這種方法不能代替活性炭的質地特性的適當表征,但對于沒有氣體吸附實驗設備的實驗室來說,這是非常有價值的。
文章標簽:椰殼活性炭,果殼活性炭,煤質活性炭,木質活性炭,蜂窩活性炭,凈水活性炭.推薦資訊
- 2025-11-27超細活性炭5000目粉末活性炭
- 2025-11-26活性炭在硫化橡膠襯套中的應用
- 2025-11-19活性炭吸附重晶石混合物中的銅和鋅
- 2025-11-10活性炭去除PFAS
- 2025-11-03防一氧化碳霍加拉特劑
- 2025-11-03防汞蒸汽專用炭防放射性碘專用炭
- 2025-11-03防酸專用炭與防氨專用炭
- 2025-11-03防護服專用炭及全防炭的介紹應用
- 2025-10-21活性炭從堿性甘氨酸溶液中吸附鉑
- 2025-10-10活性炭金屬改性對氫的吸附
- 2025-09-29活性炭吸附有機微污染物
- 2025-09-17活性炭去除對羥基苯甲醚
